UFMG 72
0.33
UTI
0.45
CN
0.19
Cdens
1.0
CC3
0.0
Clit
1.0
Cdup
Nm (P>50%)
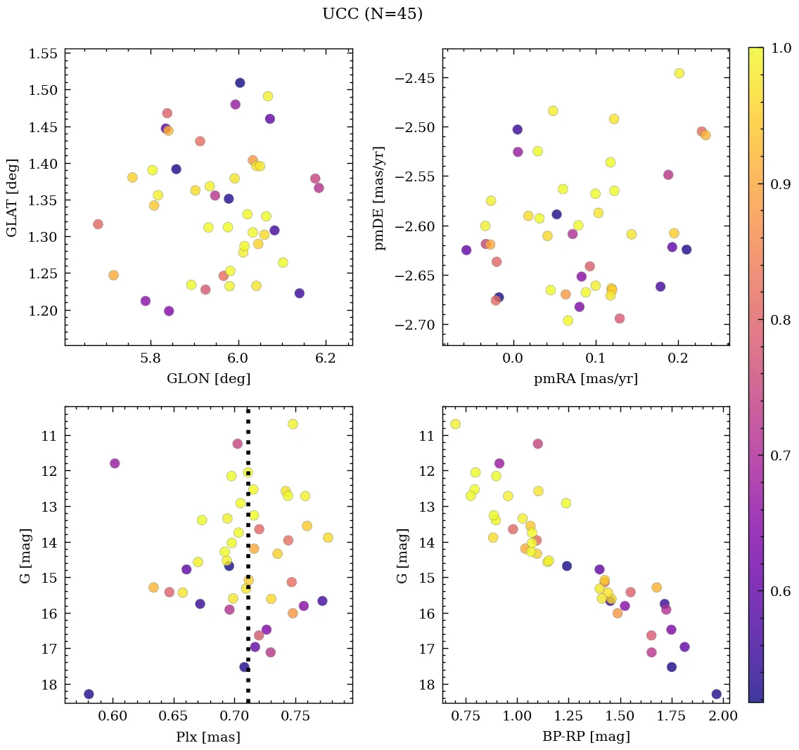
45
Core radius and density
2.7 [pc], 0.9 [pc-2]
- CN 0.45 Poorly populated
- Cdens 0.19 Very loose
- CC3 1.0 Very high quality
- Clit 0.0 Rarely studied
- Cdup 1.0 Unique
Overview
UFMG 72 is a poorly populated, very loose object of very high C3 quality. Its parallax locates it at a relatively close distance, near the mid-plane, affected by moderate extinction. It is catalogued as an intermediate-age cluster (see Parameters). It is rarely studied in the literature.
Note: This object shares a large percentage of members with 2 later reported entries. See table with shared members information.
Data
| Reference | Year | RA [deg] | DEC [deg] | Plx [mas] | pmRA [mas/yr] | pmDE [mas/yr] | Rv [km/s] |
|---|---|---|---|---|---|---|---|
| UCC | 99999â | 268.532 | -23.129 | 0.711 | 0.08 | -2.609 | -10.551 |
| Ferreira et al. | 2021 | 268.515 | -23.17 | 0.686 | 0.096 | -2.569 | â |
đĄ Note: The UCC values are estimated from its identified members.
| Reference | Year | Dist [kpc] | Av [mag] | DAv [mag] | Age [Myr] | [Fe/H] [dex] | Mass [Msun] | Bfrac | BSS |
|---|---|---|---|---|---|---|---|---|---|
| UCC | 99999â | 1.05 | 2.37 | â | 126 | â | â | â | â |
| Ferreira et al. | 2021 | 1.05 | 2.37 | â | 126 | â | â | â | â |
MOCA
