HSC 1502
0.01
UTI
0.0
CN
0.15
Cdens
0.25
CC3
0.1
Clit
0.12
Cdup
Nm (P>50%)
23
Core radius and density
1.7 [pc], 0.7 [pc-2]
- CN 0.0 Sparse
- Cdens 0.15 Very loose
- CC3 0.25 Low quality
- Clit 0.1 Rarely studied
- Cdup 0.12 Likely duplicate
Overview
HSC 1502 is a sparse, very loose object of low C3 quality. Its parallax locates it at a relatively close distance, above the mid-plane, affected by moderate extinction. It is catalogued as a near-solar metallicity, young cluster, but with a large variance across recent sources for the age and metallicity parameters (see Parameters). It was recently reported in the literature.
â ī¸ Warning: This is likely a duplicate object, which shares a large percentage of members with at least one previously reported entry. See table with shared members information.
Data
| Reference | Year | RA [deg] | DEC [deg] | Plx [mas] | pmRA [mas/yr] | pmDE [mas/yr] | Rv [km/s] |
|---|---|---|---|---|---|---|---|
| UCC | 99999â | 94.492 | 22.644 | 0.527 | 0.45 | -1.675 | â |
| Liu et al. | 2025 | 94.47 | 22.63 | 0.53 | 0.43 | -1.68 | â |
| Zhang et al. | 2024 | 94.474 | 22.632 | â | â | â | â |
| Hunt & Reffert | 2024 | 94.474 | 22.632 | 0.527 | 0.433 | -1.676 | â |
| Cavallo et al. | 2024 | 94.506 | 22.674 | 0.528 | â | â | â |
| Hunt & Reffert | 2023 | 94.474 | 22.632 | 0.527 | 0.433 | -1.676 | â |
đĄ Note: The UCC values are estimated from its identified members.
| Reference | Year | Dist [kpc] | Av [mag] | DAv [mag] | Age [Myr] | [Fe/H] [dex] | Mass [Msun] | Bfrac | BSS |
|---|---|---|---|---|---|---|---|---|---|
| UCC | 99999â | 1.925 | 2.085 | 1.51 | 51 | 0.252 | 226 | â | â |
| Liu et al. | 2025 | 4.17 | 0.75 | â | 15 | â | â | â | â |
| Zhang et al. | 2024 | â | â | â | â | -0.056(1) | â | â | â |
| Hunt & Reffert | 2024 | 1.84 | 2.17 | 1.51 | 51 | â | 226(1) | â | â |
| Cavallo et al. | 2024 | 2.01 | 2.00 | â | 112 | 0.560 | â | â | â |
| Hunt & Reffert | 2023 | 1.83 | 2.17 | 1.51 | 51 | â | â | â | â |
(N): Indicates that there are N extra values assigned to this parameter in the corresponding reference.
MOCA


Liu et al. (2025)
Classified as primordial binary cluster 196 along with OC_0316, and of multiple system 53 along with OC_0315 and OC_0316.
Palma et al. (2025)
Part of multiple system G226, along with Collinder_89, UBC_1305 and OC_0310.
Cavallo et al. (2024)
Gold sample.
Hunt & Reffert (2024)
Classified as open cluster. CMD class: 0.99 (50th percentile).
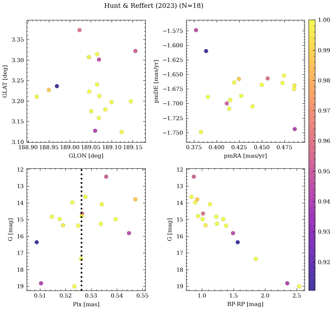
Hunt & Reffert (2023)
Classified as open cluster. CMD class: 0.99 (50th percentile).