Dias 134
0.03
UTI
0.0
CN
0.02
Cdens
0.12
CC3
0.0
Clit
1.0
Cdup
Nm (P>50%)
16
Core radius and density
5.7 [pc], 0.08 [pc-2]
- CN 0.0 Sparse
- Cdens 0.02 Very loose
- CC3 0.12 Very low quality
- Clit 0.0 Rarely studied
- Cdup 1.0 Unique
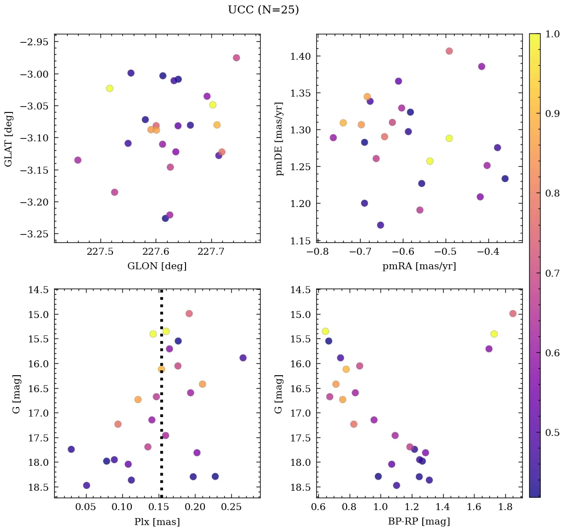
Overview
Dias 134 is a sparse, very loose object of very low C3 quality. Its parallax locates it at a large distance, below the mid-plane, affected by moderate extinction. It is catalogued as a near-solar metallicity, intermediate-age cluster (see Parameters). It was recently reported in the literature.
â ī¸ Warning: the low UTI value and no obvious signs of duplication (Cdup=1.0) indicate that this is quite probably an asterism, moving group, or artifact, and not a real open cluster.
Data
| Reference | Year | RA [deg] | DEC [deg] | Plx [mas] | pmRA [mas/yr] | pmDE [mas/yr] | Rv [km/s] |
|---|---|---|---|---|---|---|---|
| UCC | 99999â | 106.865 | -14.475 | 0.154 | -0.603 | 1.289 | 38.637 |
| Dias et al. | 2026 | 106.847 | -14.486 | 0.15 | -0.549 | 1.288 | 54.646 |
đĄ Note: The UCC values are estimated from its identified members.
| Reference | Year | Dist [kpc] | Av [mag] | DAv [mag] | Age [Myr] | [Fe/H] [dex] | Mass [Msun] | Bfrac | BSS |
|---|---|---|---|---|---|---|---|---|---|
| UCC | 99999â | 6.05 | 1.51 | â | 885 | -0.116 | â | â | â |
| Dias et al. | 2026 | 6.05 | 1.51 | â | 885 | -0.116 | â | â | â |
MOCA
