CKCWDM 46099
0.05
UTI
0.0
CN
0.01
Cdens
0.25
CC3
0.0
Clit
1.0
Cdup
Nm (P>50%)
20
Core radius and density
6.3 [pc], 0.06 [pc-2]
- CN 0.0 Sparse
- Cdens 0.01 Very loose
- CC3 0.25 Low quality
- Clit 0.0 Rarely studied
- Cdup 1.0 Unique
Overview
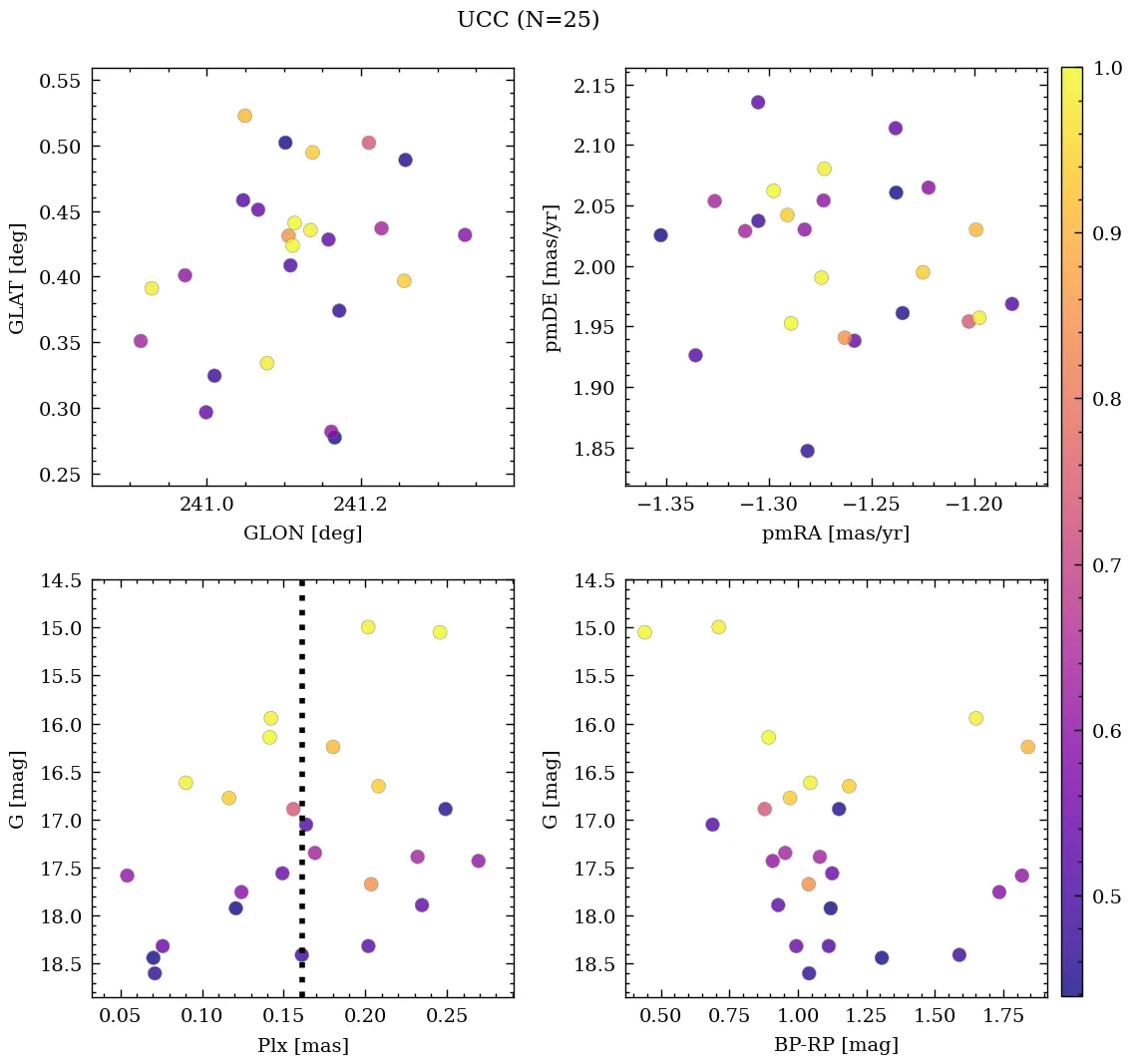
CKCWDM 46099 is a sparse, very loose object of low C3 quality. Its parallax locates it at a large distance, above the mid-plane, affected by moderate extinction. It is catalogued as a near-solar metallicity, intermediate-age cluster (see Parameters). It was recently reported in the literature.
â ī¸ Warning: the low UTI value and no obvious signs of duplication (Cdup=1.0) indicate that this is quite probably an asterism, moving group, or artifact, and not a real open cluster.
Data
| Reference | Year | RA [deg] | DEC [deg] | Plx [mas] | pmRA [mas/yr] | pmDE [mas/yr] | Rv [km/s] |
|---|---|---|---|---|---|---|---|
| UCC | 99999â | 116.991 | -24.639 | 0.161 | -1.273 | 2.029 | â |
| Chi et al. | 2025 | 116.977 | -24.657 | 0.144 | -1.255 | 2.031 | â |
đĄ Note: The UCC values are estimated from its identified members.
| Reference | Year | Dist [kpc] | Av [mag] | DAv [mag] | Age [Myr] | [Fe/H] [dex] | Mass [Msun] | Bfrac | BSS |
|---|---|---|---|---|---|---|---|---|---|
| UCC | 99999â | 6.92 | 1.63 | â | 821 | -0.181 | â | â | â |
| Chi et al. | 2025 | 6.92 | 1.63 | â | 821 | -0.181 | â | â | â |
MOCA
