BDSB 147
(BDS2003 147)
0.04
UTI
0.0
CN
0.09
Cdens
0.12
CC3
0.0
Clit
1.0
Cdup
Nm (P>50%)
15
Core radius and density
2.2 [pc], 0.5 [pc-2]
- CN 0.0 Sparse
- Cdens 0.09 Very loose
- CC3 0.12 Very low quality
- Clit 0.0 Rarely studied
- Cdup 1.0 Unique
Overview
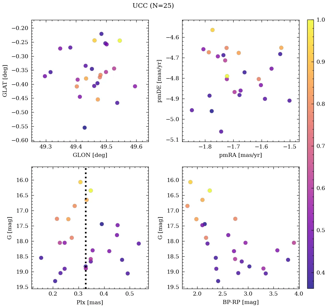
BDSB 147 is a sparse, very loose object of very low C3 quality. Its parallax locates it at a moderate* distance, near the mid-plane. It is catalogued as a cluster (see Parameters). It is rarely studied in the literature, with no articles listed in the last 13 years.
(*): The parallax distance estimate (~3.04 kpc) differs significantly from the median photometric distance (~5.43 kpc).
â ī¸ Warning: the low UTI value and no obvious signs of duplication (Cdup=1.0) indicate that this is quite probably an asterism, moving group, or artifact, and not a real open cluster.
Data
| Reference | Year | RA [deg] | DEC [deg] | Plx [mas] | pmRA [mas/yr] | pmDE [mas/yr] | Rv [km/s] |
|---|---|---|---|---|---|---|---|
| UCC | 99999â | 290.898 | 14.489 | 0.329 | -1.722 | -4.79 | â |
| Morales et al. | 2013 | 290.887 | 14.496 | â | â | â | â |
| Bica et al. | 2003 | 290.884 | 14.501 | â | â | â | â |
đĄ Note: The UCC values are estimated from its identified members.
| Reference | Year | Dist [kpc] | Av [mag] | DAv [mag] | Age [Myr] | [Fe/H] [dex] | Mass [Msun] | Bfrac | BSS |
|---|---|---|---|---|---|---|---|---|---|
| UCC | 99999â | 5.43 | â | â | â | â | â | â | â |
| Morales et al. | 2013 | 5.43 | â | â | â | â | â | â | â |
MOCA

Morales et al. (2013)
Classified as morphological type 'EC2' (partially embedded cluster). Morphological flag: cluster partially embedded, presence of emission related to PAH or warm dust.
Bica et al. (2003)
Classified as cluster candidate (IRCC).